带一本书,走进春天

风迥五两月逢三,双桨平拖水蔚蓝。
百分桃花千分柳,冶红妖翠画江南。
——张问陶:《阳湖道中》
天气渐暖,春意盎然,美好的事将如约而至。各位是不是已经在准备踏青之旅,或者正在踏青的路上呢?恰值心闲,用周五早上的一点时光,迎接即将到来的春天吧!
带一本书走进春天

《江南的春天》是林疑今先生早年的中篇作品,分“丽琼”“重逢”“恋”和“江南的春天”四段,由四社出版部于1933年印行,时年林先生20岁。

🍃林疑今:《江南的春天》,
四社出版部,1933年版,封面
林疑今先生是我国著名的文学翻译家、作家,也是我国最早翻译和研究美国文学的学者之一。他毕业于上海圣约翰大学,后负笈留学于哥伦比亚大学。回国后,几经辗转,长期任教于厦门大学英文系。林先生汉译英美文学名著中最为人熟知的,是他1939年留学归国后翻译并出版的海明威的小说Farewell to Arms(1929),初译名为《战地春梦》,解放后重印,改名《永别了,武器》,先生也因之成为我国最早译介、研究美国文学与海明威的知名学者之一。¹

🍃汉明威著,林疑今译:《战地春梦》,
上海西风社,1940年版,封面
林疑今在文学创作和翻译领域取得的骄人成绩与他的家学渊源紧密相关,其父林玉霖亦为厦门大学英语系教授,其叔父林语堂更是学贯中西的文学大师。
《全国报刊索引》近代文献资源异常丰富,您会带上哪一本书走进春天?欢迎登录www.cnbksy.com尽情选择~
春日限定穿搭

气温渐暖,一切都显得有了生气。渐渐脱去略显笨拙的冬装,低迷了很久的购物欲也蠢蠢欲动,是时候准备春装了。独属于《全国报刊索引》的春日限定穿搭
《一键点亮整个春天——春日女装大赏》(往期回顾),今年也准时来报到~
今日的推荐,只此一份,绝对限定:
左右滑动查看更多>>>
🍃《装束美》1926年10月,
第30、38、40、48、50、56、72、64、80页
这些线条优美、风格独特的仕女服饰图均来自1926年10月在上海刊行的《装束美》画报。仅见一期的《装束美》由白鹅画会装饰画研究部出版,共登载二十幅左右仕女服饰图和一些短文,周瘦鹃、戈公振、严独鹤、陈白微、朱应鹏、鲁少飞、但杜宇、丁悚、陈羽、青骑等多位文坛、画界知名人士纷纷撰文。²
↓ 点击图片直达小程序


🍃《装束美》1926年10月,封面和目录
诚如但杜宇在序言中说到,“秋草雪鸪二君以审美之观念,参酌古今中西,取其所长,制成装束美一书,为图二十有奇,无不尽态极妍,绰约多姿,实开中国妇女界服装革新之先,而为社会上放一五色缤纷之异彩。”³ 这本极具艺术感的画刊也成为白鹅画会——1923年由陈秋草、方雪鸪、潘思同创立的上海最早职工业余美术研究团体——极具代表性的成果。
↓ 点击图片直达小程序

🍃“白鹅画会为沪上最努力之一个绘画团体”
《上海漫画》1929年第66期,第7页

🍃方雪鸪作:《春季新装》,
1931年第55期,第20页
春菜尝鲜

四方食事,人间烟火,饮食是最真切的生活。品尝春天最直接的方式,也许就是把新鲜吃进肚子里。除了《这些上新的“时令鲜食”,好想一口气吃掉整个春天》(点击查看)之前为大家推荐的时令鲜食外,今天就通过周作人《故乡的野菜》这篇散文,给大家盘点几种常见的春季野菜,用味蕾来感受春天。

🍃《故乡的野菜》,
《晨报副刊》1924年4月5日第4版
荠菜是浙东人春天常吃的野菜,乡间不必说,就是城里只要有后园的人家都可以随时采食,妇女小儿各拿一把剪刀一只“苗篮”,蹲在地上搜寻,是一种有趣味的游戏的工作。
——《故乡的野菜》
“春食荠菜赛仙丹”,此时的荠菜不但鲜美,且富含多种氨基酸、蛋白质和维生素,荠菜炒鸡蛋、荠菜豆腐羹、猪肉荠菜水饺、荠菜饼等常见做法,简单又解馋。
↓ 点击图片直达小程序

🍃《挑荠菜》(歌曲),
《常识画报:中级儿童》1935年第3期,第4页
黄花麦果通称鼠曲草,系菊科植物,叶小微圆互生,表面有白毛,花黄色,簇生梢头。春天采嫩叶,捣烂去汁,和粉作糕,称黄花麦果糕。小孩们有歌赞美之云:
黄花麦果韧结结,
关得大门自要吃,
半块拿弗出,一块自要吃。
清明前后扫墓时,有些人家——大约是保存古风的人家——用黄花麦果作供,但不作饼状,做成小颗如指顶大,或细条如小指,以五六个作一攒,名曰茧果,不知是什么意思,或因蚕上山时设祭,也用这种食品,故有是称,亦未可知。
——《故乡的野菜》


鼠曲草以及用鼠曲草做成的清明果(图片源自网络)
春天慷慨赠与的时令珍馐,岂能轻易辜负?踏青之时如果遇见,何不摘上一朵将春天带回家。
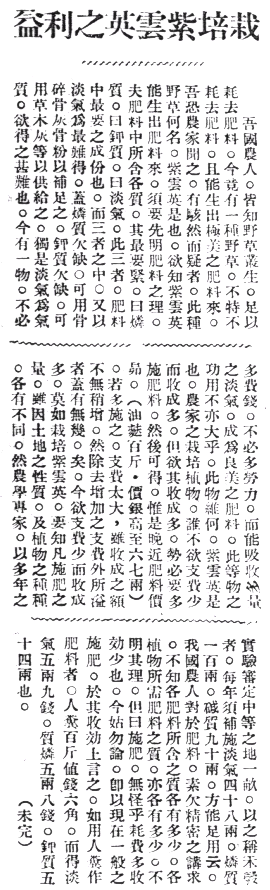
扫墓时候所常吃的还有一种野菜,俗称草紫,通称紫云英。农人在收获后,播种田内,用作肥料,是一种很被贱视的植物,但采取嫩茎瀹食,味颇鲜美,似豌豆苗。花紫红色,数十亩接连不断,一片锦绣,如铺着华美的地毯,非常好看,而且花朵状若蝴蝶,又如鸡雏,尤为小孩所喜,间有白色的花,相传可以治痢。很是珍重,但不易得。
——《故乡的野菜》

紫云英(图片源自网络)
紫云英最顶部的嫩尖,和豌豆尖有些相似,吃起来有股特别的清香气味,可凉拌、炒食或者吃火锅时烫煮。它的营养也比较丰富,是春节食疗的保健佳品。

🍃《栽培紫云英之利益》,
《今天新报》1929年6月12日第7版
春天到,
景致好,
红的花,
绿的草,
快乐逍遥。
不管怎样,春天毕竟还是来了。
这些简单的快乐,是真的快乐。

🍃《儿童晨报》1934年3月22日第1版








